扫一扫,访问手机版
最后秘密外汇交易系统下载。最后秘密外汇交易系统介绍:该交易系统包含Heiken-Aschi蜡烛图指标,KDJ随机指标,抛物线指标,移动平均线指标,双时间周期趋势指标,交易信息指标,枢轴点水平位指标(PIVOT)
等技术指标。该交易系统适用于趋势行情和趋势波段行情。最后秘密外汇交易策略:
A. 交易规则
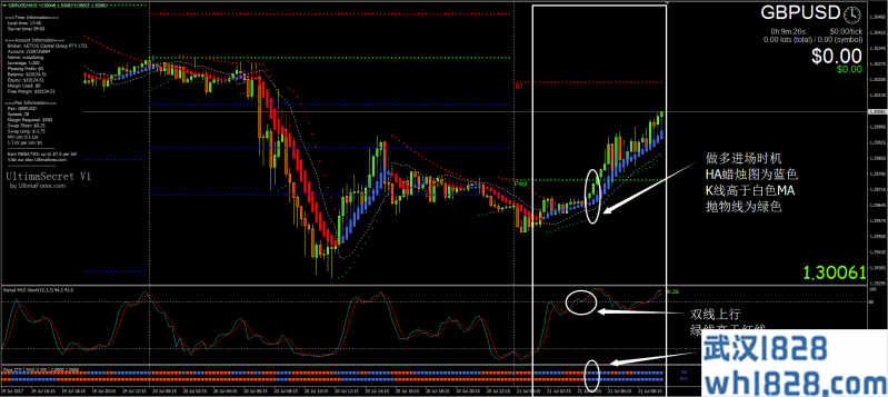
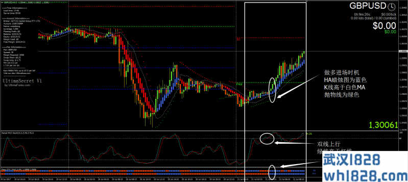
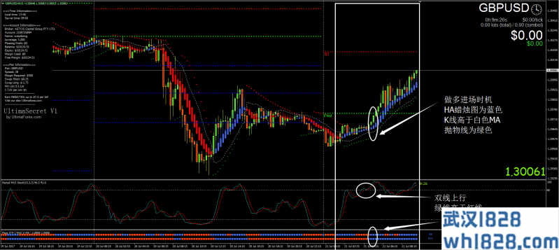
1. 做多时机:Heiken-Aschi蜡烛图指标为蓝色;K线高于白色移动平均线;抛物线指标为绿色且在K线下方;KDJ随机指标脱离超卖区,双线上行,且绿线高于红线;双时间周期趋势指标显示为蓝色。
2. 做空时机:Heiken-Aschi蜡烛图指标为红色;K线低于白色移动平均线;抛物线指标为红色且在K线上方;KDJ随机指标脱离超买区,双线下行,且绿线低于红线;双时间周期趋势指标显示为红色。
B. 止盈:可根据实际情况自行设置。一般可考虑枢轴点水平位指标的水平位设置止盈目标。盈亏比为1.2倍。
C. 止损:可根据实际情况自行设置。一般可考虑枢轴点水平位指标的水平位设置止损水平。止损可考虑设置在前高前低位置。
D. 进场时机:满足以上所有条件。
E. 离场时机:根据止盈或止损离场。或当指标出现明显反转迹象时可考虑离场。
最后秘密外汇交易系统适用品种:任何货币对。
最后秘密外汇交易系统适用周期:15分钟图(M15),可考虑尝试其他的时间周期。
1. 上升趋势:
2. 下降趋势:
最后秘密外汇交易系统图文教程(汉化版):点击下方图片放大预览。
MT4平台技术指标、模板的安装方法:
MT4安装目录/MQL4/Indicators 为指标文件夹(放置mq4和ex4指标)。
MT4安装目录/templates 为模板文件夹(放置tpl模板文件)。
然后重新启动MT4平台,你的技术指标或者模板也就安装完毕了。
小编提示:本软件最后秘密外汇交易系统下载。仅供研究学习和参考之用,任何交易系统都不能保证百分百获利,如果你对MT4指标模板的安装和使用或者英文参数不够了解建议你不要购买!升级VIP高级会员,即可下载本站所有指标和EA,众多交易系统为你保驾护航,仅需几十美金可能改变你亏损的命运!
外汇EA网--是一家专门
外汇平台提供平台免费学习外汇开户、外汇交易知识,如何炒外汇开户、外汇图表,外汇赠金活动,外汇MT4交易平台下载,外汇软件下载,外汇交易技巧、外汇书籍、外汇技术指标分析 ,外汇ea自动交易系统、外汇活动主要是以公平公正的角度传达做外汇需要的心态技巧。最后秘密外汇交易系统下载。已售:0
商品属性 [] 商品标签






